|
DL-10型真空计的研制
王逊,张云峰,唐镇松
(北京大学电子学系,北京100871)
一、 引言
石英晶振在谐振时,谐振阻抗与气体压强有关,上世纪八十年代有人研究[1]。国内在上世纪九十年代也有人对这种特性进行了研究[2]。目前这种真空计已经上市,测量范围是1Pa到大气压[3]。这种真空计测量范围较宽,精度较高。我们研制的DL-10真空计也是这种真空计,选用的晶振是Φ2×6型,频率标称值为32.768KHz,测量范围也是1Pa到大气压。
二、 工作原理
晶振在谐振时,同时自身也存在机械振动,振动时将受气体的阻力,阻力的大小与气体压强有关。因而晶振的电学特性阻抗也与气体压强有关。Φ2×6晶振的阻抗与压强的关系如图1所示:

纵坐标是谐振阻抗Z与固有阻抗 之差△Z,横坐标是压强。固有阻抗 是压强小于 时的Z值,这时气体的阻力已经可以忽略了。它决定于晶振机械震荡时自身内部损耗的能量,它与压强无关。Φ2×6的 约20KΩ。由图可见,在1-100Pa之间,△Z与P近似成线性关系,在 之间, △Z近似与 成正比。DL-10真空计将图1曲线存入单片机中,测量△Z值,由数码管显示压强值。
三、 电路的选择
文献报道的用于石英真空计的电路有以下两种,一是采用锁相怀电路(phase locked loop circuit)[1],另一种是晶振本身为频率控制元件的自振荡、自跟踪电路[2]。第一种国外真空计用的是电路振荡器与传感器用的石英晶振是各自独立的,两者之间需要有良好的跟踪技术,即振荡器的振荡频率要跟踪传感器石英晶振谐振频率的变化,这样电路较为复杂。DL-10选用第二种方案,即自振荡、自跟踪电路。在电路中石英晶振既是测试振荡电路的一个元件,同时又是压强测量的传感器,集振荡器传感器与一体,比国外先进。该电路是我们自行设计的,原理如图2所示:

该电路应用了高动态范围的AGC自动增益控制器,使传感器内阻随气压大范围变化(10KΩ~200 KΩ)时,振荡器仍能起振。高精度24位AD变换器,保证了测试系统的稳定及测试精度。真空计探头中的电子元件选用了先进的贴片式元件,达到了形小适用的效果,显示部分直观方便。
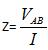
阻抗测量如图3电路所示:

谐振阻抗
为晶振两端电压
I为流过晶振的电流
电流I流过与晶振串联的电阻R,在电阻两端的电压为 ,由于与R并联的电容C甚小,工作中其容抗远大于电阻R,故可以认为:

近似等于AE两端电压 , 近似等于DE两端电压 ,由测量的 , 值及电阻值,可以算出阻抗。单片机将阻抗转换成压强,由数码管显示压强值。
DL-10还设置两个校准按键,一是零点调节,即在压强为零时按一下按键,这时单片机执行中断程序,将 值存在 中。另一个是大气调节,即在压强为大气时,按一下按键,这是单片机执行另一种中断程序,将大气时修正值存入另一 中。
四、DL-10真空计 的测量范围
DL-10的上下限由压强误差不超过10%确定,实验证明DL-10的上限可达100KPa,即一个大气压。下限误差决定于 的漂移。
DL-10真空计 的漂移如图4所示:

纵坐标是 值,横坐标是时间。由图四可见,15分钟内Z0漂移小于20Ω,而 漂移200Ω会引起压强指示值1Pa的变化。因此漂移小于20Ω,1Pa误差小于10%。图5示出在零点调节后DL-10的对比曲线,纵坐标是DL-10的读数,横坐标是MKS薄膜真空计的读数。由图可见DL-10下限为1Pa,在 也有指示。

五、与其他真空计的对比

图6是DL-10与其它真空机的对比曲线,纵坐标是DL-10的读数,横坐标是M K S薄膜真空计及DL-4压敏电阻真空计的读数。由图可见,DL-10真空计的上限为 。
六、测试结果
我们将一台DL-10真空计送到中国计量科学院进行校准,结果符合我们研制的石英真空计技术条件,即测量范围为: ,误差不超过10%。
七、讨论
1、根据上述DL-10性能的测试,按计量部门的真空计量器具分类,DL-10真空计可属于工作用真空计。
2、石英晶振测量压强的性能有一定零散性,每支晶振都有独自△ZVsP曲线,因而每支晶振都要进行测试。
3、石英晶振的谐振阻抗与晶振谐振时的机械振动所受气体阻力有关,而阻力与气体性能有关,因此石英真空计的读数与气体种类有关。
4、石英晶振原本不是用来测量压强的,生产厂没有提供有关压强的资料,做真空机使用需专门的测试,我们仅对Φ2×6型晶振进行了测试为了获得优良的压强性能,还应对其它型号进行测试与研究。
综上所述,石英真空计具有价格低廉,误差较小,量程较宽等优点,值得推广使用。
参考文献:
[1]M.Ono,M.Hirata,K.Kokubum,andH.Murakami.
Design and performance of a quartz oscillator vacuum gauge with a controller.J.Vac.sci.Technol.A3(3),May/Jun 1985:1746
[2] 刘斌,徐电,王新中,陈杭生。石英晶振传感器及真空计的研制,真空电子技术,1995年第5期17页
[3]CC-10 Wide Range Vacuum Gauge A Fredericks Company
|