|
DL-5型电离计灵敏度的计算
王逊
原载真空技术,2,8,51(1979)
自从电离计问世以来,从理论上计算电离计的灵敏度一直引起人们的兴趣。由于电子计算机的使用,一些规管的灵敏度已能计算出来。本文介绍DL-5型电离计灵敏度的计算,计算结果与实验值一致。
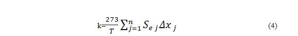
电子在等电位空间运动,带有一定的能量。当通过气体时,使气体分子(或原子)电离。每一个电子在气体的绝对温度为T,运动L厘米路程所产生的离子对数(一个离子与一个电子)N为:

式中:P——气体的压强,T——气体的绝对温度, 气体的电高效率,即一个电子通过单位气体压强,温度为0℃,运动一厘米路程所产生的离子对数。
(1)式仅当N≤1时成立。当N=1时,L即一个电子作第一次电离碰撞的自由程。在经过第一次电离碰撞以后,电子将失去动能。
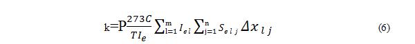
当有一束电子通过气体时,用电子流 I_e 代替一个电子,则所产生的离子流 为:

在电离子计中,离子流为:

K为电离计的灵敏度。上式与(2)式相比较,可见:

我们把这个公式推广到非等电位空间,即把整个路程L分成n段,在每一段中可以认为电子带有相同的能量,在第j段,与电子能量相应的电离效应可表示为: ,则:

为电子在第j段运行的路程。
在实际电离子计中,电子并不是按相同的轨道运动。我们可以把整个电子分成m束,在每一束中,可以认为电子是按相同轨道运动的。若第l束的电子流为 ,则总电子流 。这些电子与气体分子碰撞所产生的总离子流 可以表示成下式:

式中 , 为第l束中相应的 , 。因而灵敏度可表示为:

显然,(5)式成立的条件是电子的平均自由程要比电离计的尺寸大得多。这时k为常数,离子流与压强成线性关系。对于一般电离计来说,在压强小于 就能满足了。(5)式是在所产生的离子全部被收集极所收集才正确,否则(5)式还应乘以一系数C,C≤1,即:

这应该是电离计灵敏度的一般表达式。

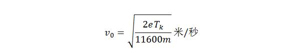
DL-5型电离计的结构如图1所示[2]。它做成盒装结构,一对大不锈钢片作离子收集极,一对小不锈钢片作电子收集极,阴极穿过对称中心。规管个电极相对电压如下:阴极电压0V,电子加速极电压115V,离子收集极电压负50V。测量 时发射电流为50μA, 时为500μA,灵敏度为 。这种结构的规管,电子轨迹简单,而且电子由阴极径直打向电子加速极,不作往返运动。有电子计算机计算的电子轨迹如图2所示。电子的初速度为:

e——电子电荷(库伦),m——电子质量(千克), 阴极绝对温度,取1500K。发射方向与OX轴(通过阴极中心的一个对称轴,见图2)的夹角为0,α,2α三个不同的角度。α=π/5。由图可见,电子的轨迹仅局限于OX轴附近很窄 的区间。放电空间的电位分布(见图2等位线)对电子有会聚作用,从电子轨迹也看出这一点,因而电子不会分散。
在电离过程,计算电子产生的离子总数可以认为是在OX轴上不同点产生的离子数的总和。 也就说把整个电子束看成路径都相同的一束。同时由于收集极面积很大,可以认为所产生的离子都被收集,即C=1,因而灵敏度可按(4)计算,这就是计算灵敏度变得很容易。在OX轴不同 位置的电离效率 单位值决定于X坐标(阴极中心为原点)。 在规管工作电压下,由电子计算机计算不同x处的电位列于表1中,其曲线如图3所示。由图可见,在阴极附近,电位上升缓慢 , 电位与x坐标的关系可近似的表示为 。

DL-5型电离计阴极中心到电子加速极的距离为0.5cm,若把它等分二十段,则每一段的距离为Δx=0.025cm。由(4)得:

氨气的 可由文献[3]数值插值得到,把[3]中数值画成曲线如图4中曲线1所示。 列在表1中。表中V 为轴上第j段

末的电位(伏特)。V为第
j段的平均电位(伏特),
为能量相当于V的电
离效率。由表中值可算得
,
则的
。由此可
见计算值与实验值
相符合。
由计算得的灵敏度画出离子流 与
压强P的关系如图 5实 线所示。
用上述计算方法,在不同电子加速极电压下计算的灵敏度列于表2中,表
2同时列出在各种加速电压下灵敏度的实验值,由

表2可见,在不同加速电压下计算的灵敏度也与实验相符合。
将DL-5规管尺寸按比例缩小一倍,测得灵敏度减小一倍,大约为 。这很容易得到解释,因为在缩小的规管中,电子运动与DL-5相似,同样把这种缩小的规管路程等分为二十段,Δx缩小一倍,由(4)式计算的灵敏度也就减小一倍。
由表1中所列 看来,离子主要产生在电子加速极附近。在阴极附近,几乎占整个路程一半的范围,产生的离子是很少的。本文计算的误差,一方面由于按(4)式计算引起,因为在DL-5中,电子束也还是有较小的分散;另一方面由电离效率的误差所引起。电离效率的测量值以依赖于气体压强的测量 。电离效率一般在 气体压强下测量,用麦克劳真空计在这范围的测量误差大约为±3%-±5%。测量离子流与电子流放大器的高阻误差大约为±5%,用水银温度计接触在玻壳上测量误差大约为±0.5%。电子路程的误差大约为±0.3%.电压的测量可以准确到±0.08伏特。因而电离效率的测量 误差可做到±7—±10%。但是现在的测量值各文献还相差很大。文献 [3]中各种气体的数值经常被人引为比较的标准。最近,氮气的测量值在高能量时要低些[4],例如在100V,[4]中 值比[3]中 值 低 13%,见图4中曲线2.如果按[4]中电离效率计算DL-5规 管 的 灵敏度为 。关于电离效率的理论研究目前更为少见。在高压强,实验测得离子流与压强的关系如图5虚线所示。由图可 见,离子流随压强的上升达到最大值,然后下降。从理论上精确计算这曲线还有待于进一步的研究。在最大值左侧局部范围, 离子流与压强,近似的表现为线性关系,这部分也可用来测量压强,它与高真空的线性区连在一起,可以形成很宽的线性区。DL-5规 管就是这种情况,在离子流与压强偏离线性10%时 的压强值为 ,因而线性范围为 。
本文电子计算机运算由毛德行同志协助
参考文献
[1]J.M.Lafferty,J.Vac.Sci.Tech.,1.101(1972).
[2]孔庆升等,热阴极中真空电离计的研究,真空技术,4,3,59(1975)。
[3]John T.Tate and P.T.Smith,Phys.Rev.,39,270(1932).
[4]Donald Rapp and Paula Englander-Golden,J.Chem.Phys.,43,1464(1965).
|