|
DL-10型真空计说明书 添加时间 2014-7-17 16:25:46 点击次数 2252 次 返 回 |
|
|
一、 概述
强值。
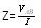
15.5mm,可通过接口插入系统。谐振阻抗的测量电路如图1所示 :
谐振阻抗 VAB为晶振两端电压
四、DL-10真空计的安装 DL-10真空计的安装如图2所示:
石英晶振及振荡电路放在探头内,引线电缆通过 5芯插头插入控制单元后面板的插座内,探头Φ15.5直径的管道插入 真空系 统。电源电缆一头插入控制单元后面板插座,另一端插入电源 插座。电源插座应含接地线,使控制单元机箱接地。打开电源开 关, 控制单元数码管显示压强值。数码管显示3.2 E 2 表示压强值 为3.2×102Pa 。 五、校准 当环境温度变化时,应对DL-10进行校准,校准 方法如下: 1、大气校准:在规管压强为大气时,用改锥按 压控制单元前面板大气孔内的按键,松开后即可。 2、零点调节:在规管压强小于1×10- 2Pa时,用改锥按压控制单元前面板零点孔内的按键,松开后即可。 |









